EN
EN

惠優喜智黃金DHA科普課堂:如何挑選DHA?牢記這4點

2024.06.20

????? 在物質相對豐富、生產力比從前更為發達的當代社會,越來越多的父母開始重視孩子大腦的營養健康。不過,孩子的成長只有一次,尤其是關系到大腦的健康發育更是馬虎不得。奈何市面上面向兒童的“腦黃金”“DHA”琳瑯滿目,更兼廣告宣發滿天飛,都說自己是優質產品,這使得許多父母不知如何選擇。下面,我們就直切正題,立足于科學和數據,談一談DHA的挑選要點。


wps1.jpg?

1.產品供應鏈完備、生產鏈衛生,無二次污染:生產鏈是否完備,關系到產品是否能持續供應,產品原材料質量幾何;生產鏈衛生與否,則影響到產品的功效強弱、是否會有損孩子身體健康。所以,這一點應當重視。

2.產品口感如何:產品的口感好壞,決定著孩子是否愿意吃。假如口感差勁,孩子對產品產生抵觸心理,即便勉強吃下,效果也不如孩子主動服用。

3.產品的吸收率如何:滿足前兩點的DHA所在多有,但吸收率較高的DHA卻不多。如果孩子將DHA產品吃下之后的吸收率不高,那前兩點再好也是無用,所以產品的吸收率如何也是父母在挑選DHA產品時應該注意的一點。

4.產品設計是否得當:市面上部分DHA產品的設計不甚合理,不是需要使用剪刀剪開,就是要用手指擠壓,這樣既不方便也不衛生,影響食用體驗。所以,在選購時可以注意一下產品設計這個“加分項”。

?

????? 那么,如何確定以上4點是否合乎標準?我們下面進一步討論。

?1.?產品供應鏈完備、生產鏈衛生,無二次污染:產品品質可追溯,能夠通過權威機構的檢驗。注意,每個國家對品質的要求各不相同,所以建議選擇已通過所在國家機構檢驗的產品,這樣也方便溯源。魚油DHA可能存在二次污染,因為深海魚不僅食用藻類,也會食用其他東西,在此期間容易形成二次污染,而藻油DHA則更為天然。

?2.?產品口感如何:DHA這類產品,分為魚油DHA和藻油DHA,前者帶有一定魚腥味,加之捕撈、運輸、提取、制成過程更為漫長,所以孩子在食用時可能會對魚腥味產生抵觸心理,而后者的異味更小。?

?3.?產品吸收率如何:魚油DHA多為乙油酯型或甘油三酯型,生物利用率較低;藻油DHA則為天然甘油三酯型,生物利用率較高。同時,優質DHA品牌會公示產品吸收率這類實驗數據,讓父母更放心。

?4.?產品設計是否得當:部分DHA產品需要使用剪刀剪開或手指擠壓,一來食用麻煩,二來在此期間容易致使細菌污染,三來也不適合孩子自行食用。所以,可以選擇可直接食用并消化吸收的DHA產品。

?

惠優喜智黃金DHA

強大產品供應鏈和生產鏈,讓家長買得放心:為向往美好生活的人們提供科學可靠的大腦營養,為讓更多孩子自幼享有大腦智力營養,惠優喜所屬公司富諾健康與世界DHA之父邁克爾·克勞福德教授一同推出“惠優喜智黃金DHA”。惠優喜智黃金DHA,具備廣東省食品行業優秀新產品獲獎證書、海藻多糖提取工藝獲獎證書;放射性核素檢測報告、營養標簽技術鑒定等報告確保品質可追溯。同時,惠優喜還廣州黃埔建有符合ISO22000標準,GMP認證和擁有SC生產許可、潔凈程度達至萬級、10萬級、30萬級的保健品工廠,生產制造更透明,讓家長買得更放心。

wps2.png?

wps3.png?

wps4.png?

wps5.jpg?

wps6.jpg?

wps7.jpg?

wps8.png?

?

產品口感好,讓孩子吃得開心:為提升惠優喜智黃金DHA口感,惠優喜采用優化去腥工藝,讓智黃金DHA帶有淡淡檸檬香,口感如糖果一般美味。

wps9.png?

wps10.jpg?

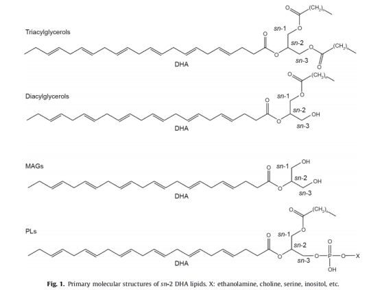
產品吸收率高,盡顯品牌誠心:惠優喜智黃金采用專利型Sn-2位DHA研究顯示Sn-2DHA比其他DHA更親和人體、吸收率更高。如下圖所示,在各個時期的母乳中,DHA和ARA的存在形式含量最多的均為結合在Sn-2位的甘油三酯。在人乳脂肪(HMF)的總脂肪酸中,DHA只占很小的比例(0.36%–0.70%),但是超過一半(52.63%–65.15%)被結合在Sn-2位置。此外,Sn-2位的DHA,容易被組織攝取和吸收,能影響代謝和分布,并與腸道的微生態平衡密切相關。

wps11.jpg?

wps12.jpg?

產品設計簡便,食用時更省心:惠優喜智黃金DHA在設計時充分考慮到孩子食用時必備的衛生和便捷,便以即溶薄皮小晶球作為外殼,能夠直接吞服,入口即溶、入水即溶、入奶即溶,讓孩子在沒有父母的幫助下也能自行食用。

wps13.jpg?

當然,大腦營養健康的行業之大,自然還有許多像惠優喜智黃金DHA一樣,滿足上述4點的好產品等待著新生代父母群體去發現,惠優喜智黃金DHA愿與大家一道呵護更多孩子的健康、為更多孩子的營養補充提供幫助,讓更多孩子能夠擁有一個充滿智慧的健康童年

wps14.png


?